Cisco 200-201 Question Answer
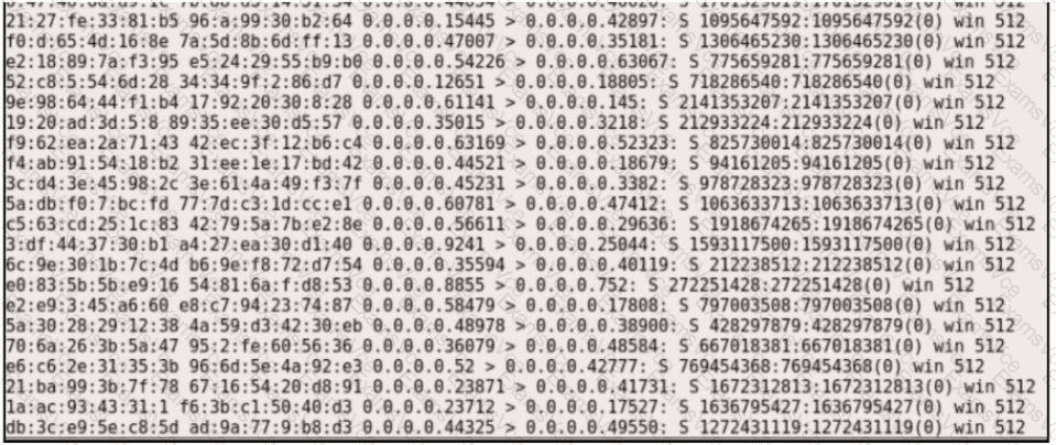
Refer to the exhibit.

Which type of attack is represented?
Cisco 200-201 Summary
- Vendor: Cisco
- Product: 200-201
- Update on: Feb 16, 2026
- Questions: 476
Cisco 200-201 Question Answer
Refer to the exhibit.

Which type of attack is represented?
Your purchase with ExamsVCE is safe and fast. Your products will be available for immediate download after your payment has been received.
The ExamsVCE website is protected by 256-bit SSL from McAfee, the leader in online security.