IFoA IFoA_CAA_M0 Question Answer
Calculate the determinant of the product of the matrices given below:

IFoA IFoA_CAA_M0 Summary
- Vendor: IFoA
- Product: IFoA_CAA_M0
- Update on: Oct 27, 2025
- Questions: 64
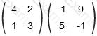
IFoA IFoA_CAA_M0 Question Answer
Calculate the determinant of the product of the matrices given below:

Your purchase with ExamsVCE is safe and fast. Your products will be available for immediate download after your payment has been received.
The ExamsVCE website is protected by 256-bit SSL from McAfee, the leader in online security.