OMG OMG-OCUP2-FOUND100 Question Answer
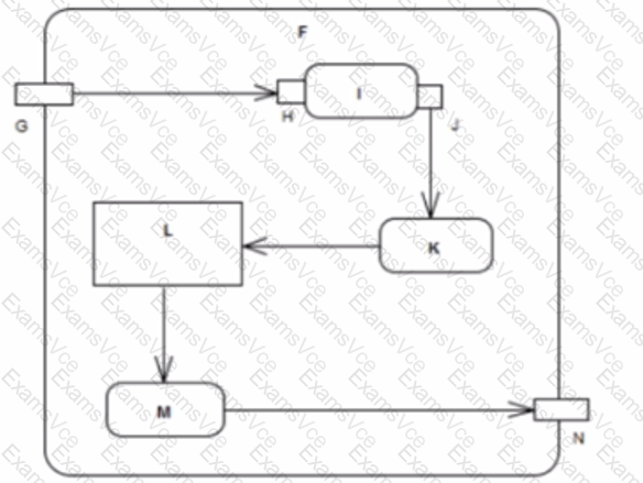
Choose the correct answer: Consider the following diagram:

How many object nodes in total are shown?
OMG OMG-OCUP2-FOUND100 Summary
- Vendor: OMG
- Product: OMG-OCUP2-FOUND100
- Update on: May 7, 2026
- Questions: 90
OMG OMG-OCUP2-FOUND100 Question Answer
Choose the correct answer: Consider the following diagram:

How many object nodes in total are shown?
Your purchase with ExamsVCE is safe and fast. Your products will be available for immediate download after your payment has been received.
The ExamsVCE website is protected by 256-bit SSL from McAfee, the leader in online security.